Официальное опубликование правовых актов
ОФИЦИАЛЬНОЕ ОПУБЛИКОВАНИЕ
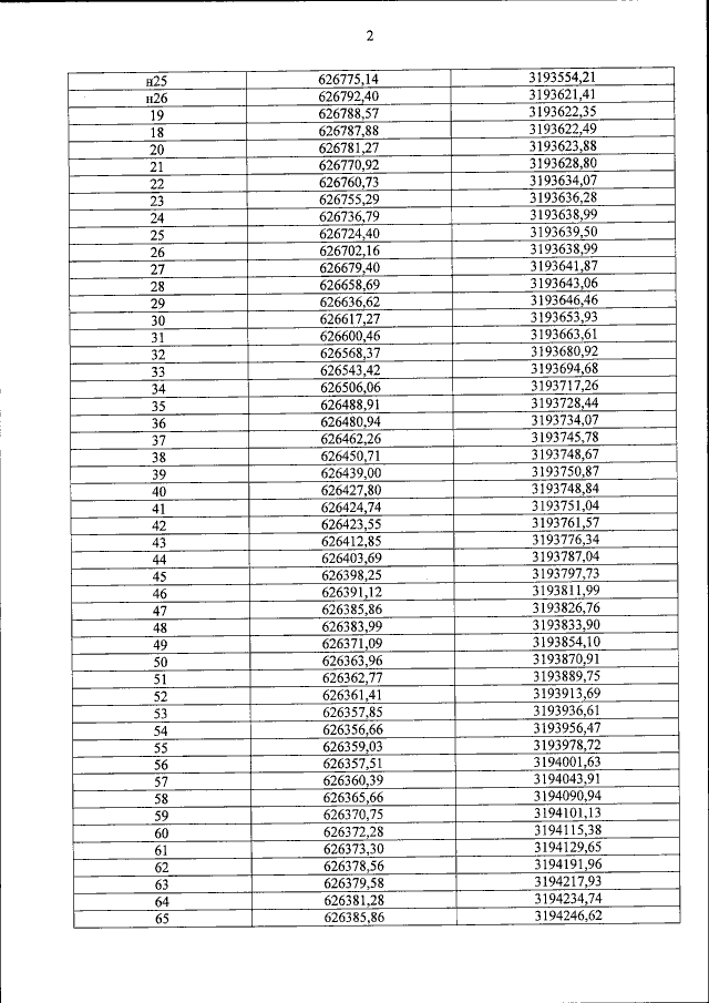
Приказ Министерства природных ресурсов и экологии Российской Федерации от 04.09.2017 № 478
"Об утверждении Положения о государственном природном заповеднике "Басеги"
(Зарегистрирован 28.09.2017 № 48357)
Номер опубликования: 0001201709290028
Дата опубликования: 29.09.2017
Страница №10 из 23:
Увеличить