Официальное опубликование правовых актов
ОФИЦИАЛЬНОЕ ОПУБЛИКОВАНИЕ
Приказ Министерства культуры Российской Федерации от 07.09.2017 № 1497
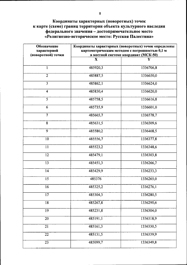
"О включении выявленного объекта культурного наследия - достопримечательное место "Религиозно-историческое место: Русская Палестина" (Московская область, Истринский район) в единый государственный реестр объектов культурного наследия (памятников истории и культуры) народов Российской Федерации в качестве объекта культурного наследия федерального значения, а также об утверждении границ, требований к осуществлению деятельности и градостроительным регламентам в границах его территории"
(Зарегистрирован 04.10.2017 № 48413)
Номер опубликования: 0001201710040009
Дата опубликования: 04.10.2017
Страница №8 из 146:
Увеличить