Официальное опубликование правовых актов
ОФИЦИАЛЬНОЕ ОПУБЛИКОВАНИЕ
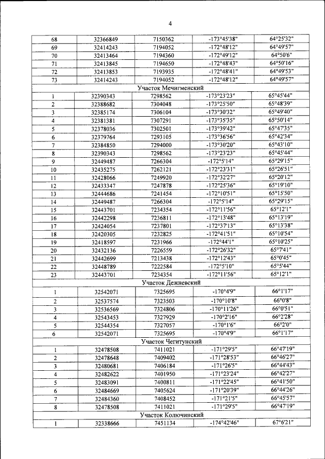
Приказ Министерства природных ресурсов и экологии Российской Федерации от 27.09.2017 № 519
"Об утверждении Положения о национальном парке "Берингия"
(Зарегистрирован 23.10.2017 № 48634)
Номер опубликования: 0001201710240015
Дата опубликования: 24.10.2017
Страница №23 из 34:
Увеличить