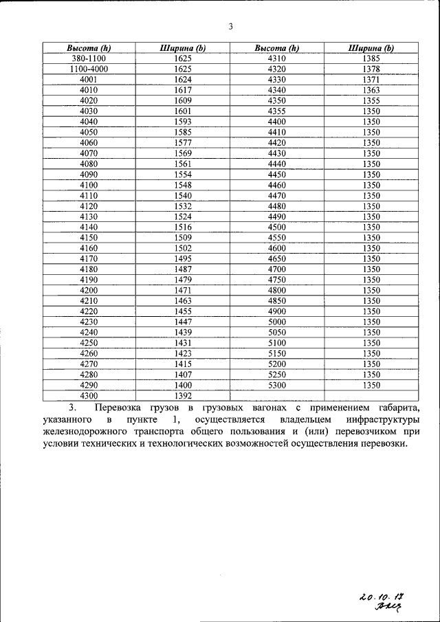
Приказ Министерства транспорта Российской Федерации от 26.07.2017 № 278
"Об утверждении Технических условий размещения и крепления автомобилей, автопоездов, автоприцепов, полуприцепов, съемных автомобильных кузовов в порожнем или груженом состоянии при перевозке в грузовых вагонах"
(Зарегистрирован 22.11.2017 № 48975)
"Об утверждении Технических условий размещения и крепления автомобилей, автопоездов, автоприцепов, полуприцепов, съемных автомобильных кузовов в порожнем или груженом состоянии при перевозке в грузовых вагонах"
(Зарегистрирован 22.11.2017 № 48975)
Номер опубликования: 0001201711230011
Дата опубликования:
23.11.2017
