Официальное опубликование правовых актов
ОФИЦИАЛЬНОЕ ОПУБЛИКОВАНИЕ
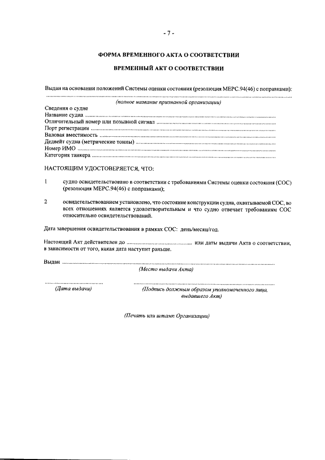
Поправки 2003 года к Системе оценки состояния
(вступили в силу для Российской Федерации 5 апреля 2005 года)
Номер опубликования: 0001201712080034
Дата опубликования: 08.12.2017
Страница №7 из 8:
Увеличить