Официальное опубликование правовых актов
ОФИЦИАЛЬНОЕ ОПУБЛИКОВАНИЕ
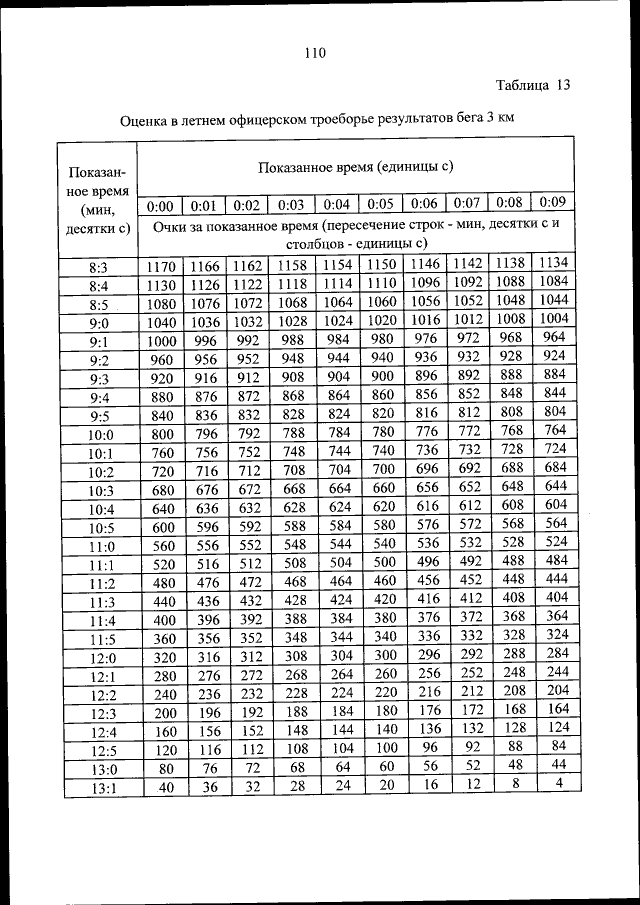
Приказ Министерства спорта Российской Федерации от 13.11.2017 № 991
"Об утверждении Единой всероссийской спортивной классификации (военно-прикладные и служебно-прикладные виды спорта)"
(Зарегистрирован 11.12.2017 № 49206)
Номер опубликования: 0001201712120042
Дата опубликования: 12.12.2017
Страница №110 из 257:
Увеличить