Официальное опубликование правовых актов
ОФИЦИАЛЬНОЕ ОПУБЛИКОВАНИЕ
Приказ Министерства транспорта Российской Федерации от 15.11.2017 № 488
"Об открытии воздушного грузо-пассажирского постоянного многостороннего пункта пропуска через государственную границу Российской Федерации в международном аэропорту Уфа (Республика Башкортостан)"
(Зарегистрирован 12.12.2017 № 49211)
Номер опубликования: 0001201712130023
Дата опубликования: 13.12.2017
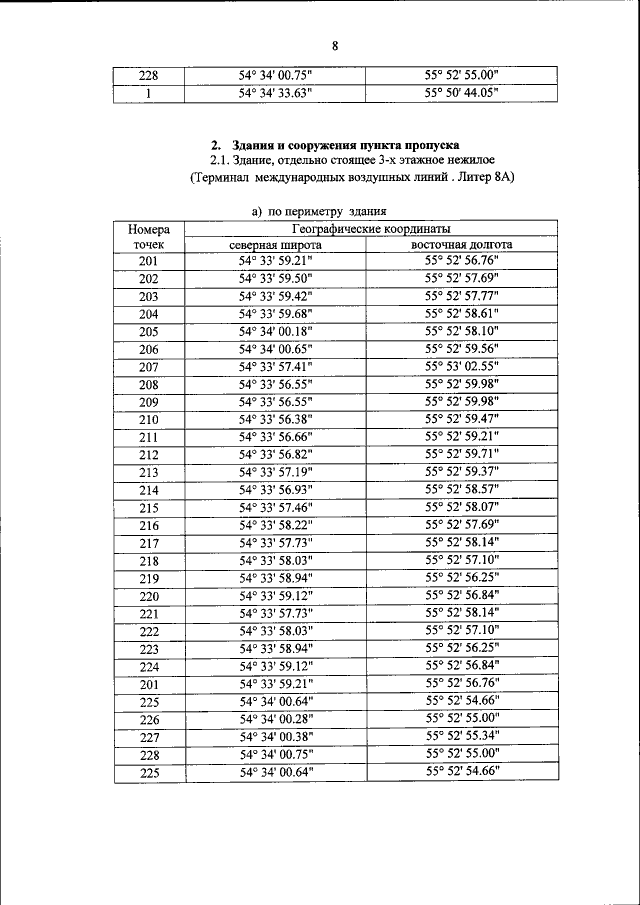
Страница №8 из 20:
Увеличить