Официальное опубликование правовых актов
ОФИЦИАЛЬНОЕ ОПУБЛИКОВАНИЕ
Приказ Федеральной антимонопольной службы от 19.12.2017 № 1747/17
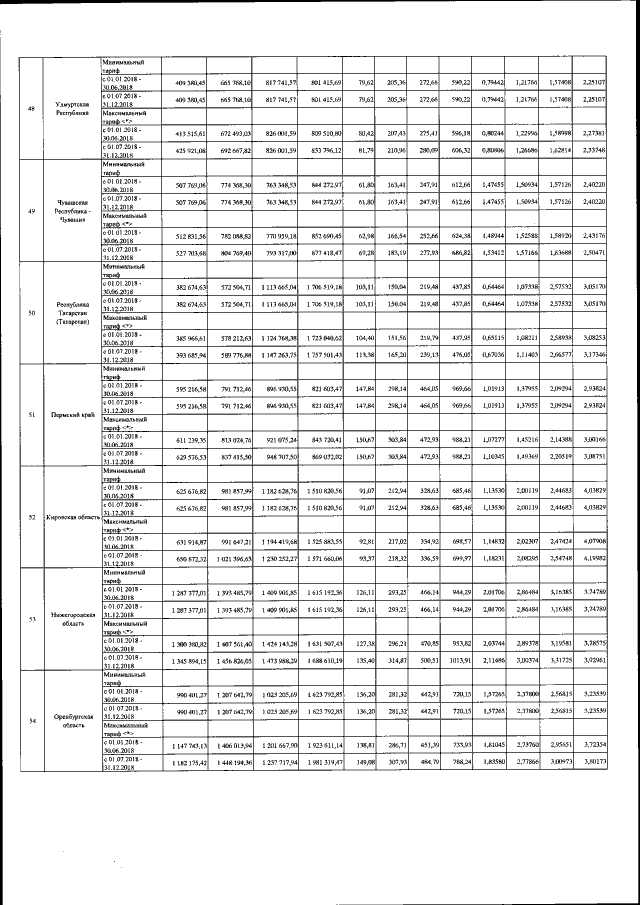
"Об утверждении предельных минимальных и максимальных уровней тарифов на услуги по передаче электрической энергии, оказываемые потребителям, не относящимся к населению и приравненным к нему категориям потребителей, по субъектам Российской Федерации на 2018 год"
(Зарегистрирован 29.12.2017 № 49546)
Номер опубликования: 0001201712290089
Дата опубликования: 29.12.2017
Страница №13 из 21:
Увеличить