Официальное опубликование правовых актов
ОФИЦИАЛЬНОЕ ОПУБЛИКОВАНИЕ
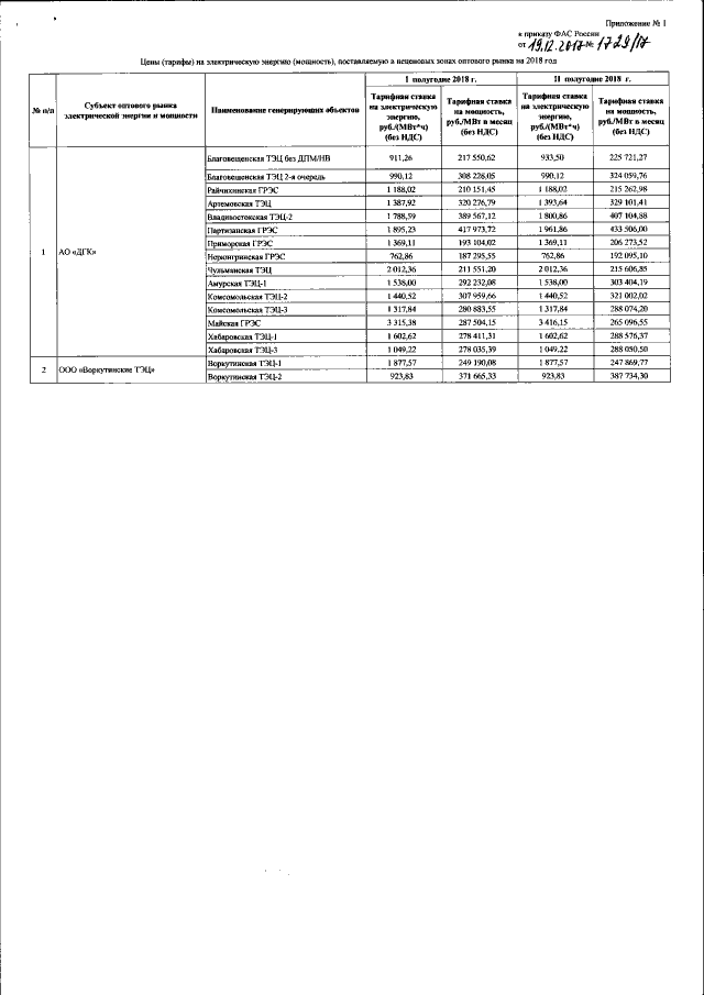
Приказ Федеральной антимонопольной службы от 19.12.2017 № 1729/17
"О ценах (тарифах) на электрическую энергию (мощность)‚ поставляемую в неценовых зонах оптового рынка на 2018 год"
(Зарегистрирован 12.01.2018 № 49612)
Номер опубликования: 0001201801150002
Дата опубликования: 15.01.2018
Страница №5 из 6:
Увеличить