Официальное опубликование правовых актов
ОФИЦИАЛЬНОЕ ОПУБЛИКОВАНИЕ
Приказ Министерства труда и социальной защиты Российской Федерации от 22.12.2017 № 863н
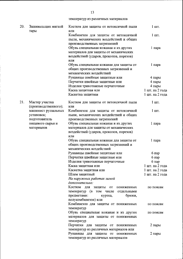
"Об утверждении Типовых норм бесплатной выдачи специальной одежды, специальной обуви и других средств индивидуальной защиты работникам элеваторной, мукомольно-крупяной и комбикормовой промышленности, занятым на работах с вредными и (или) опасными условиями труда, а также на работах, выполняемых в особых температурных условиях или связанных с загрязнением"
(Зарегистрирован 18.01.2018 № 49686)
Номер опубликования: 0001201801220004
Дата опубликования: 22.01.2018
Страница №14 из 21:
Увеличить