Официальное опубликование правовых актов
ОФИЦИАЛЬНОЕ ОПУБЛИКОВАНИЕ
Приказ Федеральной службы по экологическому, технологическому и атомному надзору от 09.11.2017 № 470
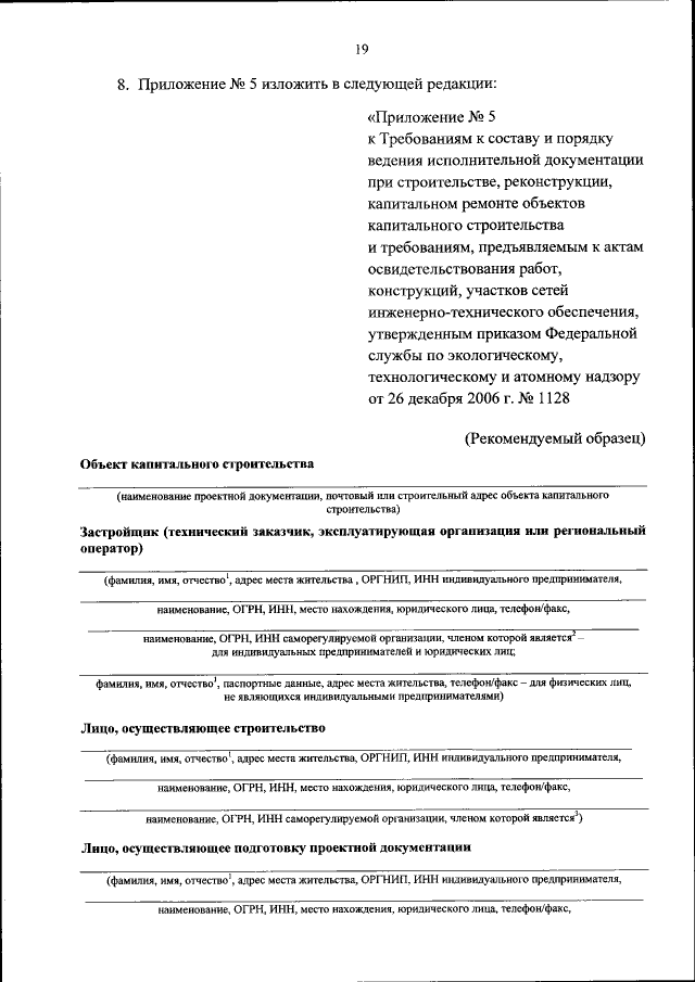
"О внесении изменений в Требования к составу и порядку ведения исполнительной документации при строительстве, реконструкции, капитальном ремонте объектов капитального строительства и требования, предъявляемые к актам освидетельствования работ, конструкций, участков сетей инженерно-технического обеспечения, утвержденные приказом Федеральной службы по экологическому, технологическому и атомному надзору от 26 декабря 2006 г. № 1128"
(Зарегистрирован 15.02.2018 № 50053)
Номер опубликования: 0001201802160007
Дата опубликования: 16.02.2018
Страница №21 из 25:
Увеличить