Официальное опубликование правовых актов
ОФИЦИАЛЬНОЕ ОПУБЛИКОВАНИЕ
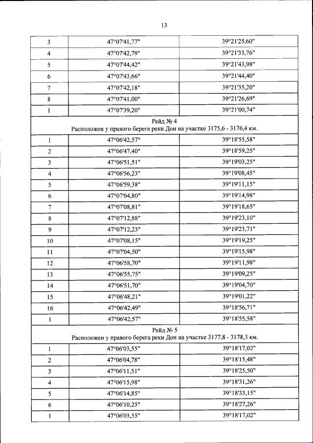
Приказ Министерства транспорта Российской Федерации от 31.01.2018 № 39
"Об открытии морского грузового постоянного многостороннего пункта пропуска через государственную границу Российской Федерации в морском порту Азов (Ростовская область)"
(Зарегистрирован 22.02.2018 № 50119)
Номер опубликования: 0001201802220017
Дата опубликования: 22.02.2018
Страница №13 из 14:
Увеличить