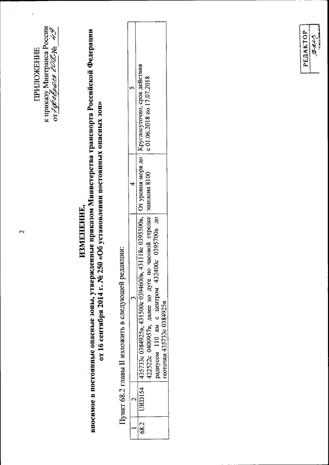
Приказ Министерства транспорта Российской Федерации от 07.02.2018 № 49
"О внесении изменения в постоянные опасные зоны, утвержденные приказом Министерства транспорта Российской Федерации от 16 сентября 2014 г. № 250"
(Зарегистрирован 26.02.2018 № 50126)
"О внесении изменения в постоянные опасные зоны, утвержденные приказом Министерства транспорта Российской Федерации от 16 сентября 2014 г. № 250"
(Зарегистрирован 26.02.2018 № 50126)
Номер опубликования: 0001201802270034
Дата опубликования:
27.02.2018
