Официальное опубликование правовых актов
ОФИЦИАЛЬНОЕ ОПУБЛИКОВАНИЕ
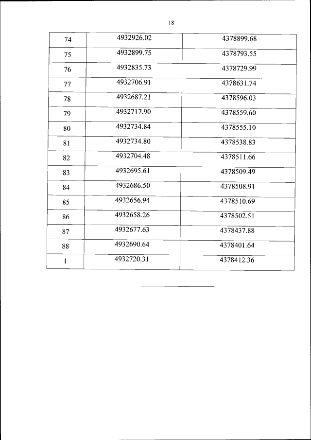
Приказ Министерства культуры Российской Федерации от 28.03.2018 № 367
"Об утверждении границ и режима использования территории объекта культурного наследия федерального значения "Древний город Херсонес Таврический", V в. до н.э. - ХV в. н.э. (г. Севастополь)"
(Зарегистрирован 19.04.2018 № 50834)
Номер опубликования: 0001201804200033
Дата опубликования: 20.04.2018
Страница №18 из 21:
Увеличить