Официальное опубликование правовых актов
ОФИЦИАЛЬНОЕ ОПУБЛИКОВАНИЕ
Приказ Министерства природных ресурсов и экологии Российской Федерации от 17.04.2018 № 150
"Об утверждении Положения о государственном природном заповеднике "Олекминский"
(Зарегистрирован 07.05.2018 № 51001)
Номер опубликования: 0001201805080016
Дата опубликования: 08.05.2018
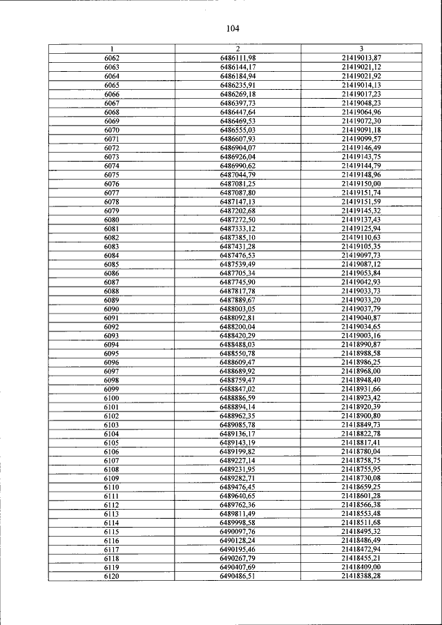
Страница №112 из 136:
Увеличить