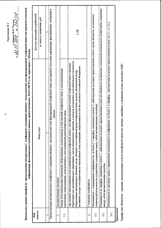
Приказ Федеральной антимонопольной службы от 22.03.2018 № 352/18
"Об утверждении тарифов на услуги местной и внутризоновой телефонной связи, предоставляемые ПАО "МГТС" на территории г. Москвы"
(Зарегистрирован 01.06.2018 № 51266)
"Об утверждении тарифов на услуги местной и внутризоновой телефонной связи, предоставляемые ПАО "МГТС" на территории г. Москвы"
(Зарегистрирован 01.06.2018 № 51266)
Номер опубликования: 0001201806050019
Дата опубликования:
05.06.2018
