Официальное опубликование правовых актов
ОФИЦИАЛЬНОЕ ОПУБЛИКОВАНИЕ
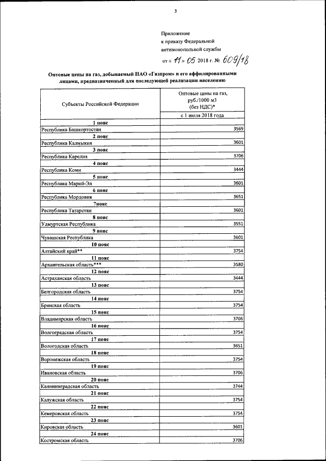
Приказ Федеральной антимонопольной службы от 11.05.2018 № 609/18
"Об утверждении оптовых цен на газ, добываемый ПАО "Газпром" и его аффилированными лицами, предназначенный для последующей реализации населению"
(Зарегистрирован 19.06.2018 № 51383)
Номер опубликования: 0001201806200005
Дата опубликования: 20.06.2018
Страница №3 из 5:
Увеличить