Официальное опубликование правовых актов
ОФИЦИАЛЬНОЕ ОПУБЛИКОВАНИЕ
Приказ Министерства транспорта Российской Федерации от 24.07.2018 № 278
"Об открытии воздушного грузо-пассажирского постоянного многостороннего пункта пропуска через государственную границу Российской Федерации в международном аэропорту Новосибирск (Толмачево)"
(Зарегистрирован 03.08.2018 № 51780)
Номер опубликования: 0001201808060030
Дата опубликования: 06.08.2018
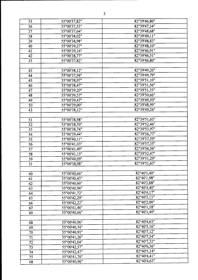
Страница №5 из 16:
Увеличить