Официальное опубликование правовых актов
ОФИЦИАЛЬНОЕ ОПУБЛИКОВАНИЕ
Приказ Федеральной антимонопольной службы от 03.08.2018 № 1088/18
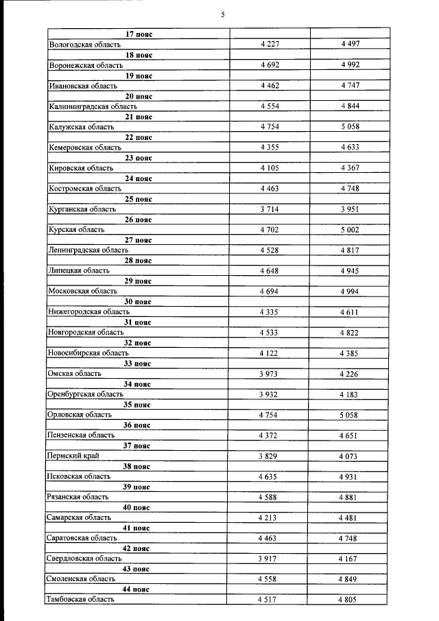
"Об утверждении оптовых цен на газ, используемых в качестве предельных минимальных и предельных максимальных уровней оптовых цен на газ, добываемый ПАО "Газпром" и его аффилированными лицами, реализуемый потребителям Российской Федерации, указанным в пункте 15.1 Основных положений формирования и государственного регулирования цен на газ, тарифов на услуги по его транспортировке и платы за технологическое присоединение газоиспользующего оборудования к газораспределительным сетям на территории Российской Федерации, утвержденных постановлением Правительства Российской Федерации от 29 декабря 2000 года № 1021"
(Зарегистрирован 10.08.2018 № 51843)
Номер опубликования: 0001201808100029
Дата опубликования: 10.08.2018
Страница №5 из 7:
Увеличить