Официальное опубликование правовых актов
ОФИЦИАЛЬНОЕ ОПУБЛИКОВАНИЕ
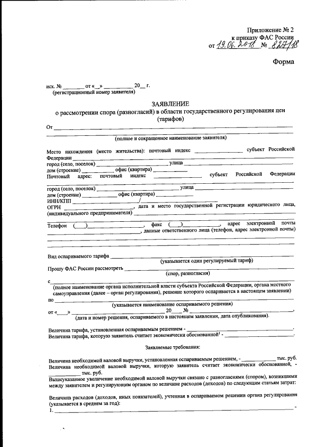
Приказ Федеральной антимонопольной службы от 19.06.2018 № 827/18
"Об утверждении регламента деятельности Федеральной антимонопольной службы по рассмотрению (урегулированию) споров и разногласий, связанных с установлением и (или) применением цен (тарифов), форм заявлений и решения о рассмотрении указанных споров"
(Зарегистрирован 10.08.2018 № 51855)
Номер опубликования: 0001201808130008
Дата опубликования: 13.08.2018
Страница №8 из 18:
Увеличить