Официальное опубликование правовых актов
ОФИЦИАЛЬНОЕ ОПУБЛИКОВАНИЕ
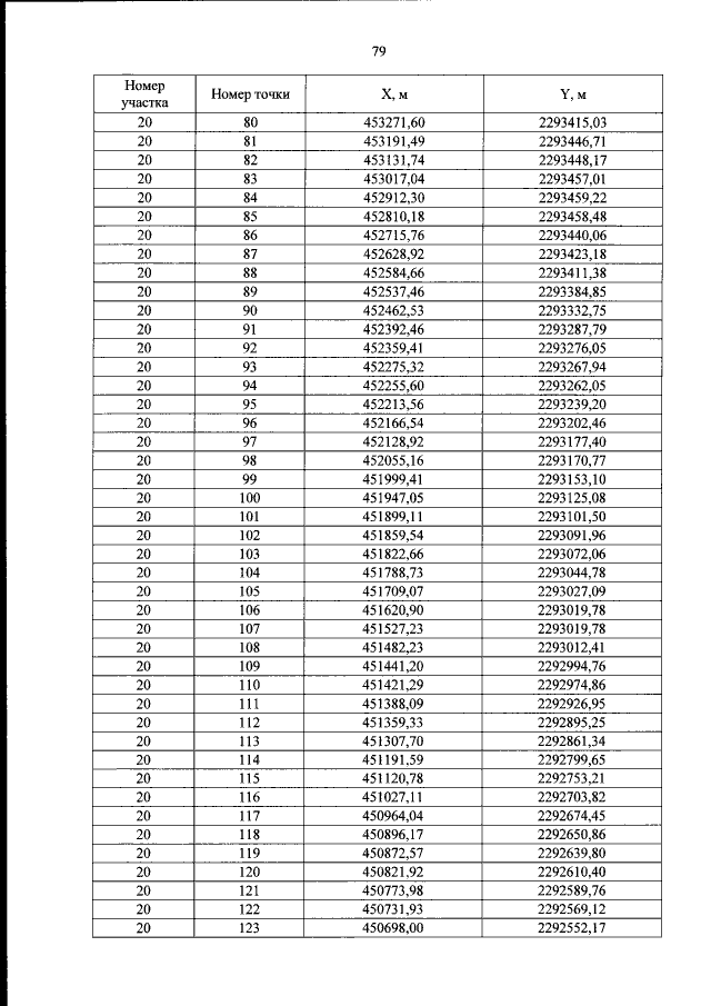
Приказ Министерства природных ресурсов и экологии Российской Федерации от 02.08.2018 № 346
"Об утверждении Положения о национальном парке "Сенгилеевские горы"
(Зарегистрирован 23.08.2018 № 51981)
Номер опубликования: 0001201808240012
Дата опубликования: 24.08.2018
Страница №90 из 151:
Увеличить