Официальное опубликование правовых актов
ОФИЦИАЛЬНОЕ ОПУБЛИКОВАНИЕ
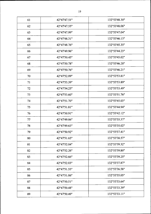
Приказ Министерства транспорта Российской Федерации от 31.10.2018 № 392
"Об утверждении пределов морского грузо-пассажирского постоянного многостороннего пункта пропуска через государственную границу Российской Федерации в морском порту Находка (Приморский край)"
(Зарегистрирован 27.11.2018 № 52797)
Номер опубликования: 0001201811280019
Дата опубликования: 28.11.2018
Страница №19 из 22:
Увеличить