Официальное опубликование правовых актов
ОФИЦИАЛЬНОЕ ОПУБЛИКОВАНИЕ
Приказ Министерства транспорта Российской Федерации от 31.10.2018 № 391
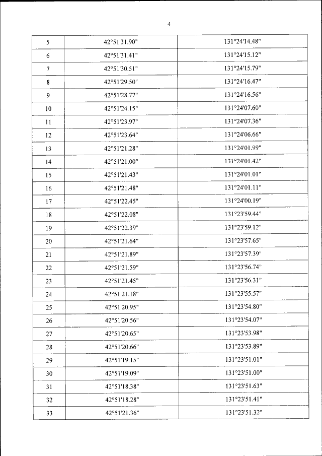
"Об утверждении пределов морского грузо-пассажирского постоянного многостороннего пункта пропуска через государственную границу Российской Федерации в морском порту Посьет (Приморский край)"
(Зарегистрирован 27.11.2018 № 52800)
Номер опубликования: 0001201811280020
Дата опубликования: 28.11.2018
Страница №4 из 6:
Увеличить