Официальное опубликование правовых актов
ОФИЦИАЛЬНОЕ ОПУБЛИКОВАНИЕ
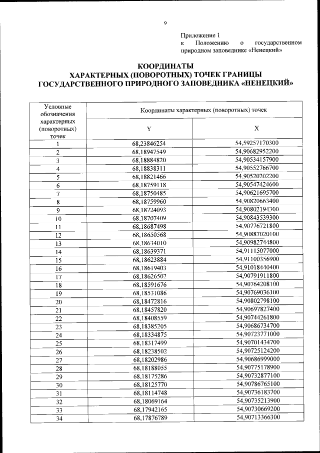
Приказ Министерства природных ресурсов и экологии Российской Федерации от 03.09.2018 № 403
"Об утверждении Положения о государственном природном заповеднике "Ненецкий"
(Зарегистрирован 30.11.2018 № 52841)
Номер опубликования: 0001201811300037
Дата опубликования: 30.11.2018
Страница №10 из 101:
Увеличить