Официальное опубликование правовых актов
ОФИЦИАЛЬНОЕ ОПУБЛИКОВАНИЕ
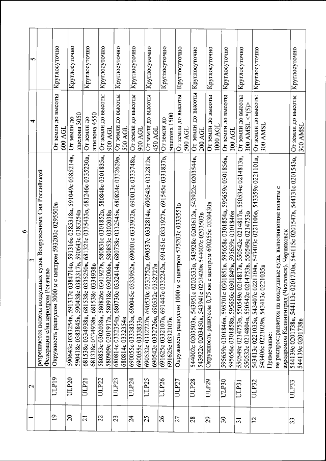
Приказ Министерства транспорта Российской Федерации от 17.12.2018 № 451
"Об установлении запретных зон"
(Зарегистрирован 15.01.2019 № 53365)
Номер опубликования: 0001201901160017
Дата опубликования: 16.01.2019
Страница №6 из 24:
Увеличить