Официальное опубликование правовых актов
ОФИЦИАЛЬНОЕ ОПУБЛИКОВАНИЕ
Приказ Министерства труда и социальной защиты Российской Федерации от 20.12.2018 № 827н
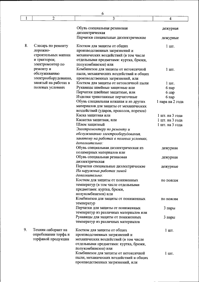
"Об утверждении Типовых норм бесплатной выдачи специальной одежды, специальной обуви и других средств индивидуальной защиты работникам торфозаготовительных и торфоперерабатывающих организаций, занятым на работах с вредными и (или) опасными условиями труда, а также на работах, выполняемых в особых температурных условиях или связанных с загрязнением"
(Зарегистрирован 14.01.2019 № 53350)
Номер опубликования: 0001201901160033
Дата опубликования: 16.01.2019
Страница №7 из 16:
Увеличить