Официальное опубликование правовых актов
ОФИЦИАЛЬНОЕ ОПУБЛИКОВАНИЕ
Приказ Министерства культуры Российской Федерации от 17.12.2018 № 2229
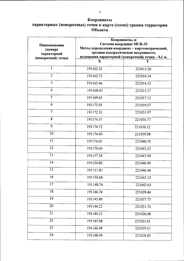
"Об утверждении границ и режима использования территории объекта культурного наследия федерального значения "Золотые ворота", 1164 г., расположенного по адресу: г. Владимир, ул. Б. Московская, д. 1-а"
(Зарегистрирован 17.01.2019 № 53411)
Номер опубликования: 0001201901180028
Дата опубликования: 18.01.2019
Страница №7 из 10:
Увеличить