Официальное опубликование правовых актов
ОФИЦИАЛЬНОЕ ОПУБЛИКОВАНИЕ
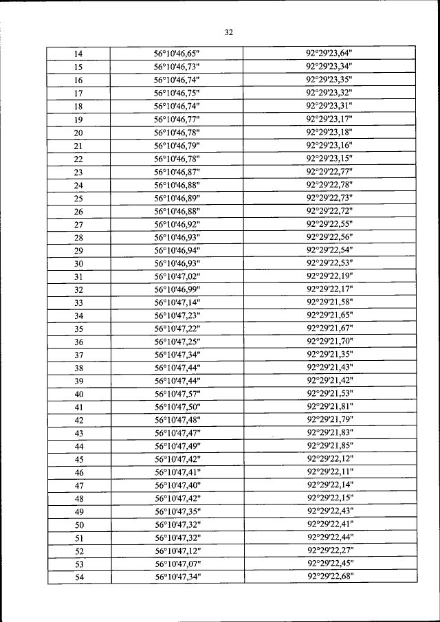
Приказ Министерства транспорта Российской Федерации от 25.01.2019 № 19
"Об открытии воздушного грузо-пассажирского постоянного многостороннего пункта пропуска через государственную границу Российской Федерации в международном аэропорту Красноярск (Емельяново)"
(Зарегистрирован 07.02.2019 № 53723)
Номер опубликования: 0001201902080030
Дата опубликования: 08.02.2019
Страница №32 из 36:
Увеличить