Официальное опубликование правовых актов
ОФИЦИАЛЬНОЕ ОПУБЛИКОВАНИЕ
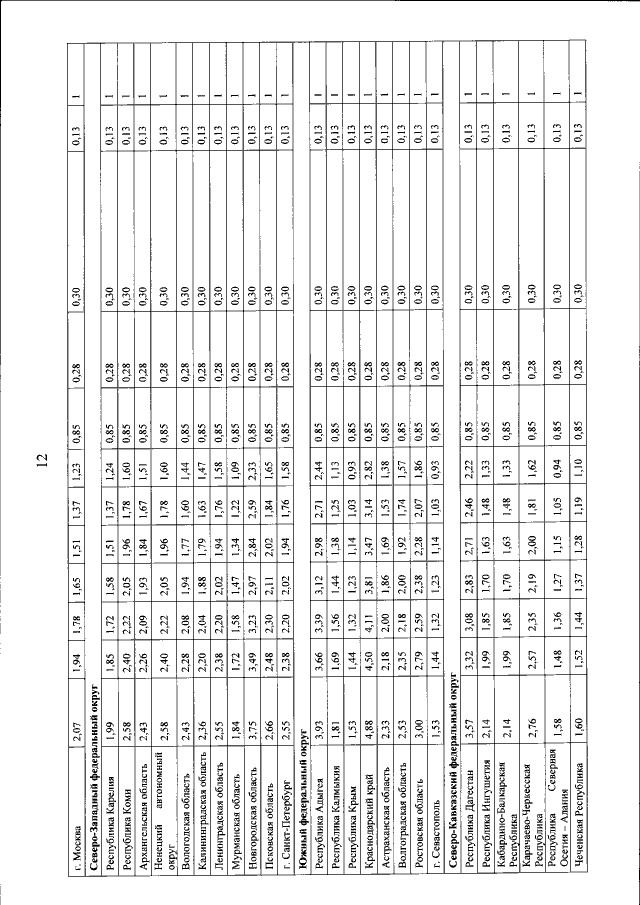
Приказ Министерства сельского хозяйства Российской Федерации от 04.03.2019 № 92
"Об утверждении Плана сельскохозяйственного страхования на 2019 год"
(Зарегистрирован 21.03.2019 № 54123)
Номер опубликования: 0001201903220028
Дата опубликования: 22.03.2019
Страница №90 из 94:
Увеличить