Официальное опубликование правовых актов
ОФИЦИАЛЬНОЕ ОПУБЛИКОВАНИЕ
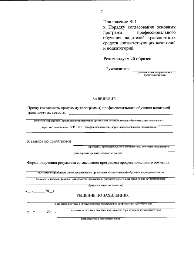
Приказ Министерства внутренних дел Российской Федерации от 04.02.2019 № 49
"Об утверждении Порядка согласования основных программ профессионального обучения водителей транспортных средств соответствующих категорий и подкатегорий"
(Зарегистрирован 26.03.2019 № 54169)
Номер опубликования: 0001201903270011
Дата опубликования: 27.03.2019
Страница №7 из 8:
Увеличить