Официальное опубликование правовых актов
ОФИЦИАЛЬНОЕ ОПУБЛИКОВАНИЕ
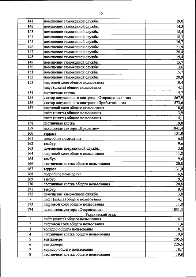
Приказ Министерства транспорта Российской Федерации от 09.04.2019 № 98
"Об утверждении пределов морского грузо-пассажирского постоянного многостороннего пункта пропуска через государственную границу Российской Федерации в морском порту Сочи (Краснодарский край)"
(Зарегистрирован 14.05.2019 № 54612)
Номер опубликования: 0001201905150016
Дата опубликования: 15.05.2019
Страница №12 из 14:
Увеличить