Официальное опубликование правовых актов
ОФИЦИАЛЬНОЕ ОПУБЛИКОВАНИЕ
Приказ Федеральной антимонопольной службы от 13.05.2019 № 580/19
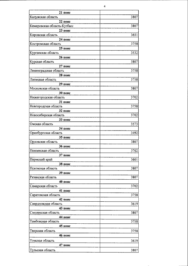
"Об утверждении оптовых цен на газ, добываемый ПАО "Газпром" и его аффилированными лицами, предназначенный для последующей реализации населению"
(Зарегистрирован 05.06.2019 № 54841)
Номер опубликования: 0001201906060008
Дата опубликования: 06.06.2019
Страница №4 из 5:
Увеличить