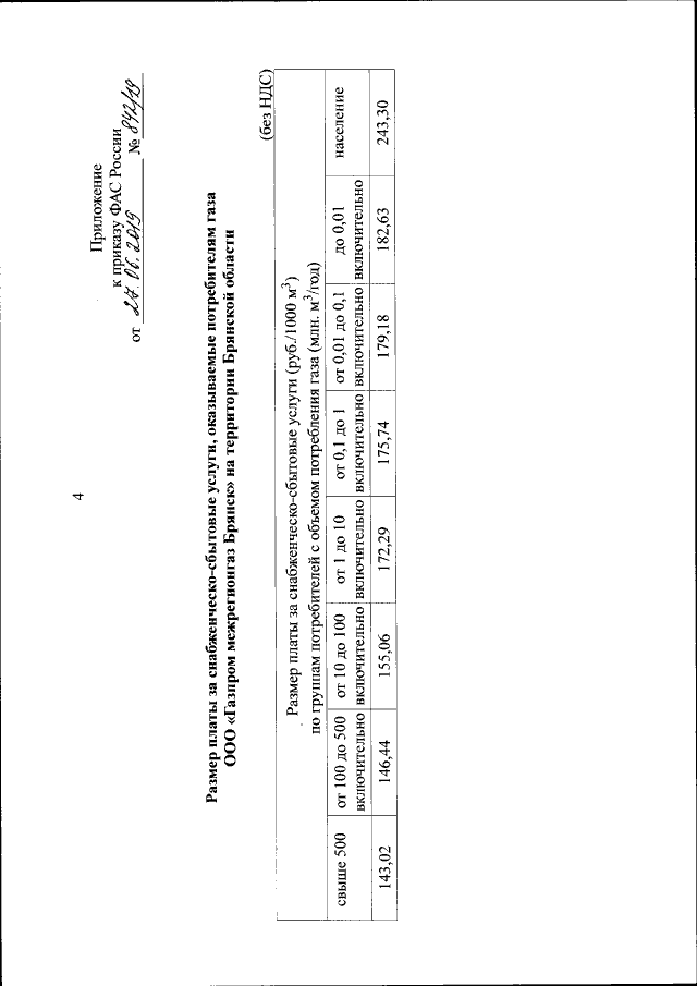
Приказ Федеральной антимонопольной службы от 27.06.2019 № 842/19
"Об утверждении размера платы за снабженческо-сбытовые услуги, оказываемые потребителям газа ООО "Газпром межрегионгаз Брянск" на территории Брянской области"
(Зарегистрирован 22.07.2019 № 55325)
"Об утверждении размера платы за снабженческо-сбытовые услуги, оказываемые потребителям газа ООО "Газпром межрегионгаз Брянск" на территории Брянской области"
(Зарегистрирован 22.07.2019 № 55325)
Номер опубликования: 0001201907230008
Дата опубликования:
23.07.2019
