Официальное опубликование правовых актов
ОФИЦИАЛЬНОЕ ОПУБЛИКОВАНИЕ
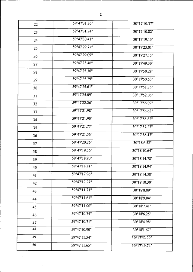
Приказ Министерства транспорта Российской Федерации от 03.09.2019 № 290
"Об утверждении пределов воздушного грузо-пассажирского постоянного многостороннего пункта пропуска через государственную границу Российской Федерации в международном аэропорту Санкт-Петербург (Пулково)"
(Зарегистрирован 03.10.2019 № 56122)
Номер опубликования: 0001201910040017
Дата опубликования: 04.10.2019
Страница №3 из 28:
Увеличить