Официальное опубликование правовых актов
ОФИЦИАЛЬНОЕ ОПУБЛИКОВАНИЕ
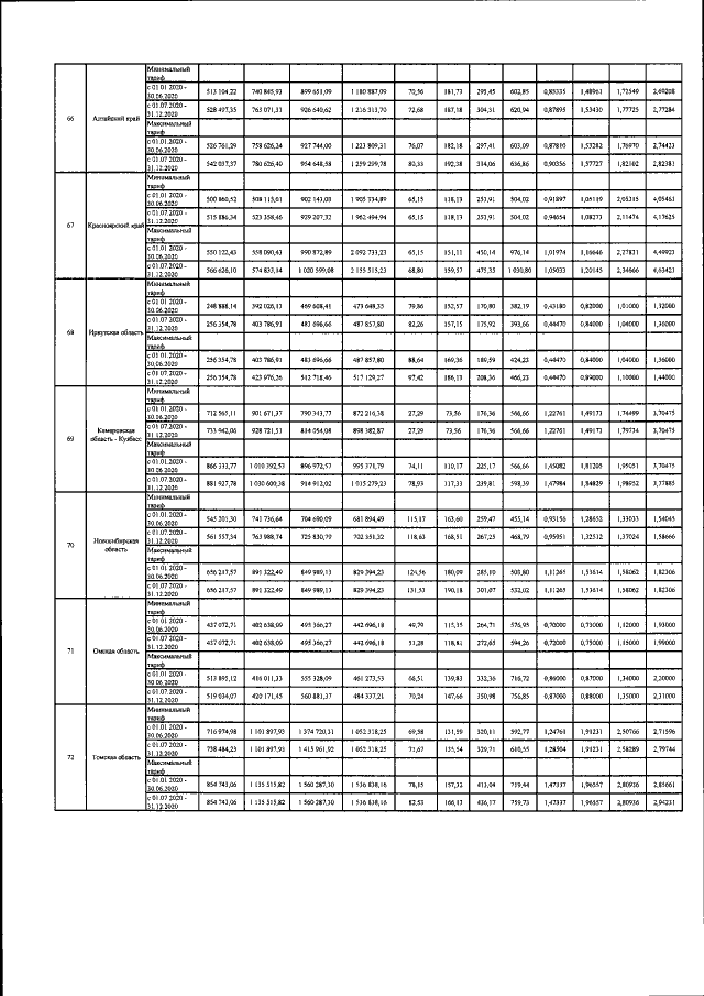
Приказ Федеральной антимонопольной службы от 14.11.2019 № 1508/19
"Об утверждении предельных минимальных и максимальных уровней тарифов на услуги по передаче электрической энергии, оказываемые потребителям, не относящимся к населению и приравненным к нему категориям потребителей, по субъектам Российской Федерации на 2020 год"
(Зарегистрирован 26.11.2019 № 56643)
Номер опубликования: 0001201911270015
Дата опубликования: 27.11.2019
Страница №14 из 20:
Увеличить