Официальное опубликование правовых актов
ОФИЦИАЛЬНОЕ ОПУБЛИКОВАНИЕ
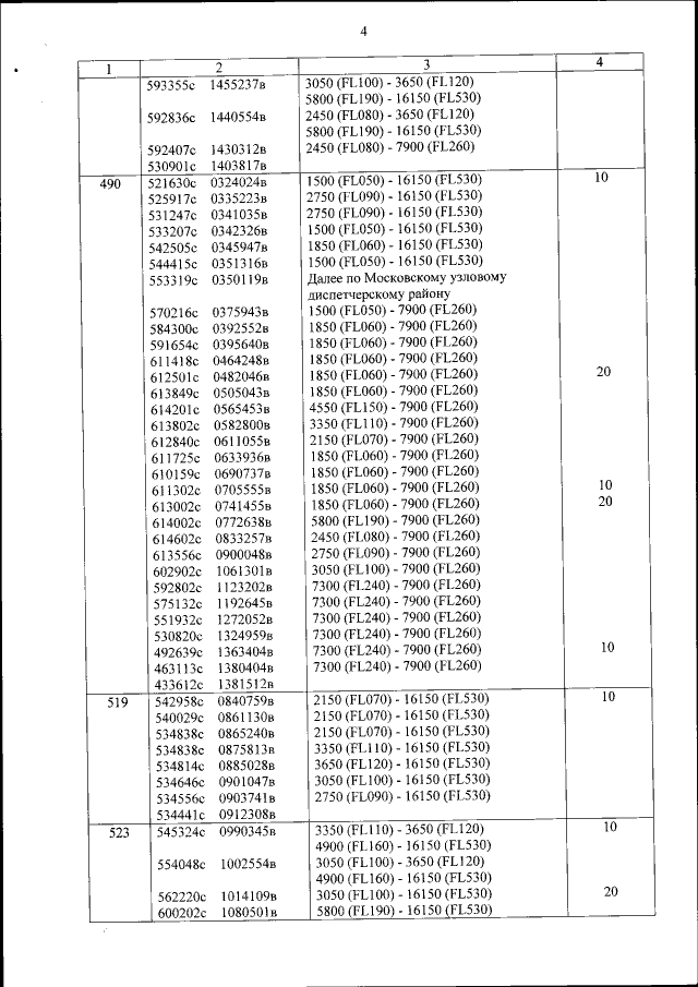
Приказ Министерства транспорта Российской Федерации от 09.01.2020 № 1
"О внесении изменений в маршруты обслуживания воздушного движения, утвержденные приказом Министерства транспорта Российской Федерации от 11 января 2018 г. № 4"
(Зарегистрирован 08.04.2020 № 58025)
Номер опубликования: 0001202004080064
Дата опубликования: 08.04.2020
Страница №5 из 12:
Увеличить