Официальное опубликование правовых актов
ОФИЦИАЛЬНОЕ ОПУБЛИКОВАНИЕ
Приказ Министерства культуры Российской Федерации от 25.05.2020 № 563
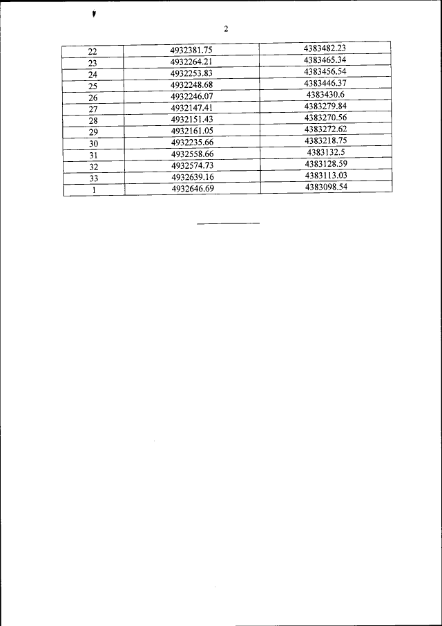
"Об утверждении границ и режима использования территории объекта культурного наследия федерального значения "Ансамбль мемориального комплекса памятников обороны города Севастополя в 1854-1855 годах, 1941-1944 годах "Малахов курган", 1904-1905 годы, архитектор А.М.Вейзеи, 1944-1980-е годы (г. Севастополь, Малахов курган)"
(Зарегистрирован 23.11.2020 № 61061)
Номер опубликования: 0001202011230087
Дата опубликования: 23.11.2020
Страница №12 из 12:
Увеличить