Официальное опубликование правовых актов
ОФИЦИАЛЬНОЕ ОПУБЛИКОВАНИЕ
Приказ Федеральной антимонопольной службы от 25.12.2020 № 1273/20
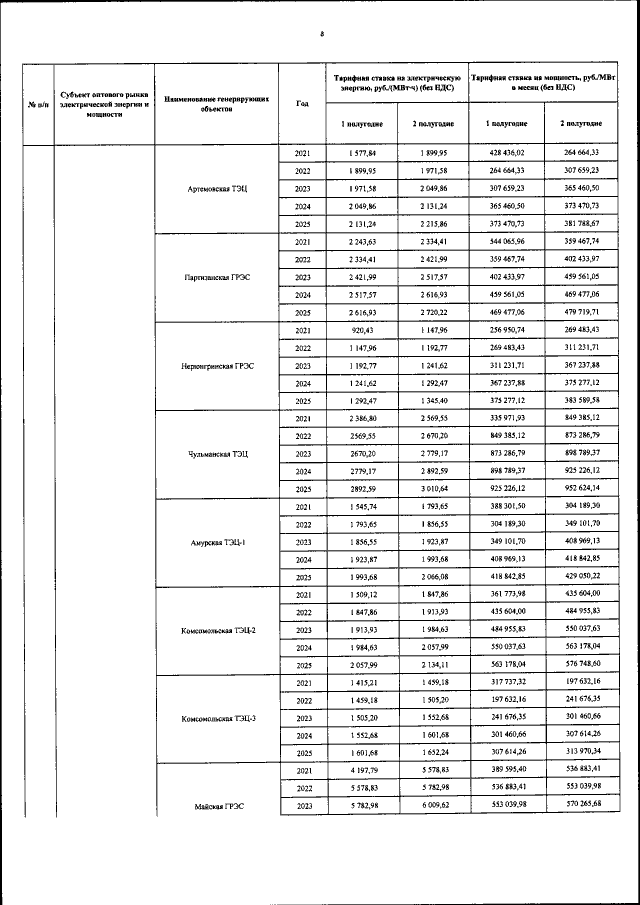
"Об утверждении цен (тарифов) на электрическую энергию (мощность) для поставщиков - субъектов оптового рынка, владеющих на праве собственности или ином законном основании тепловыми электростанциями, функционирующими на территории неценовых зон оптового рынка электрической энергии и мощности, устанавливаемых с применением метода долгосрочной индексации необходимой валовой выручки на 2021 - 2025 годы"
(Зарегистрирован 29.12.2020 № 61901)
Номер опубликования: 0001202012290070
Дата опубликования: 29.12.2020
Страница №8 из 14:
Увеличить