Официальное опубликование правовых актов
ОФИЦИАЛЬНОЕ ОПУБЛИКОВАНИЕ
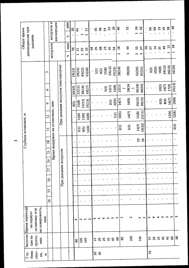
Приказ Министерства труда и социальной защиты Российской Федерации от 17.12.2020 № 922н
"Об утверждении Правил по охране труда при проведении водолазных работ"
(Зарегистрирован 29.12.2020 № 61927)
Номер опубликования: 0001202012300102
Дата опубликования: 30.12.2020
Страница №173 из 195:
Увеличить