Приказ Министерства транспорта Российской Федерации от 18.02.2021 № 45
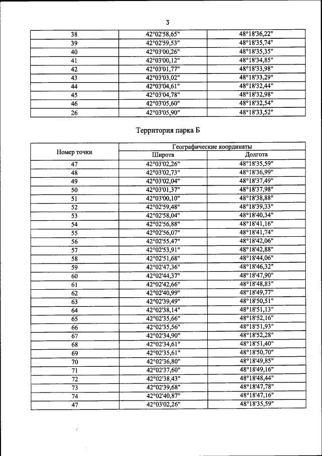
"Об утверждении пределов железнодорожного грузо-пассажирского постоянного многостороннего пункта пропуска через государственную границу Российской Федерации Дербент (Республика Дагестан)"
(Зарегистрирован 19.03.2021 № 62819)
"Об утверждении пределов железнодорожного грузо-пассажирского постоянного многостороннего пункта пропуска через государственную границу Российской Федерации Дербент (Республика Дагестан)"
(Зарегистрирован 19.03.2021 № 62819)
Номер опубликования: 0001202103200010
Дата опубликования:
20.03.2021
