Официальное опубликование правовых актов
ОФИЦИАЛЬНОЕ ОПУБЛИКОВАНИЕ
Приказ Министерства культуры Российской Федерации от 21.01.2021 № 81
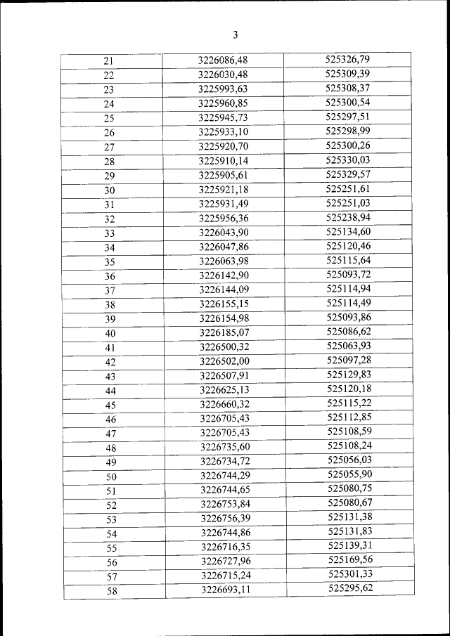
"О включении выявленного объекта культурного наследия "Мемориальный парк "Свирская Победа", 1944 г., 1950-е гг. (Ленинградская область, г. Лодейное Поле, пр. Ленина, д. 122а) и выявленных объектов культурного наследия в его составе в единый государственный реестр объектов культурного наследия (памятников истории и культуры) народов Российской Федерации в качестве объектов культурного наследия федерального значения и утверждении границ их территории"
(Зарегистрирован 27.04.2021 № 63249)
Номер опубликования: 0001202104280043
Дата опубликования: 28.04.2021
Страница №6 из 7:
Увеличить