Официальное опубликование правовых актов
ОФИЦИАЛЬНОЕ ОПУБЛИКОВАНИЕ
Приказ Министерства транспорта Российской Федерации от 24.05.2021 № 166
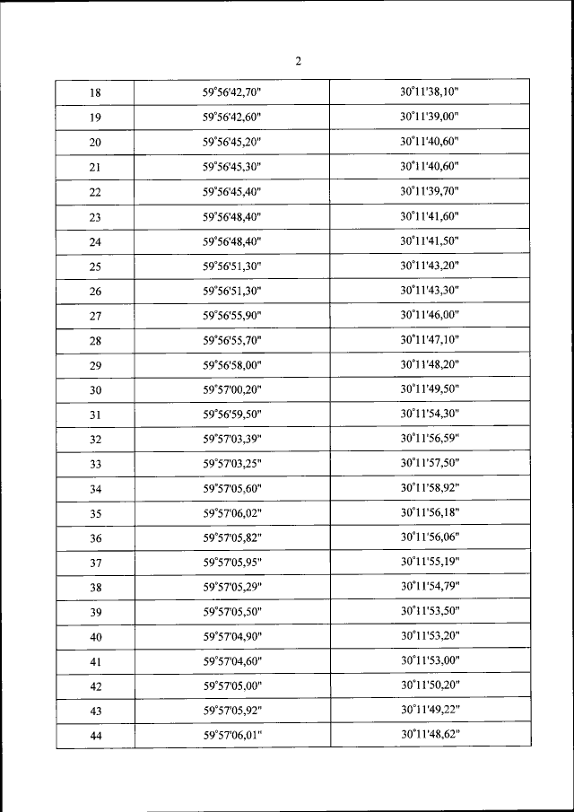
"Об открытии морского грузо-пассажирского постоянного многостороннего пункта пропуска через государственную границу Российской Федерации в морском порту Пассажирский порт Санкт-Петербург и об определении пределов данного пункта пропуска через государственную границу Российской Федерации"
(Зарегистрирован 07.06.2021 № 63810)
Номер опубликования: 0001202106080001
Дата опубликования: 08.06.2021
Страница №4 из 29:
Увеличить