Официальное опубликование правовых актов
ОФИЦИАЛЬНОЕ ОПУБЛИКОВАНИЕ
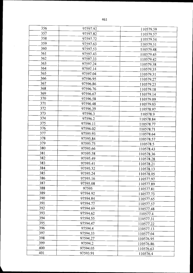
Приказ Министерства культуры Российской Федерации от 30.10.2020 № 1295
"Об утверждении предмета охраны, границ территории и требований к градостроительным регламентам в границах территории исторического поселения федерального значения город Санкт-Петербург"
(Зарегистрирован 16.06.2021 № 63887)
Номер опубликования: 0001202106160028
Дата опубликования: 16.06.2021
Страница №461 из 469:
Увеличить