Официальное опубликование правовых актов
ОФИЦИАЛЬНОЕ ОПУБЛИКОВАНИЕ
Приказ Федеральной антимонопольной службы от 02.06.2021 № 544/21
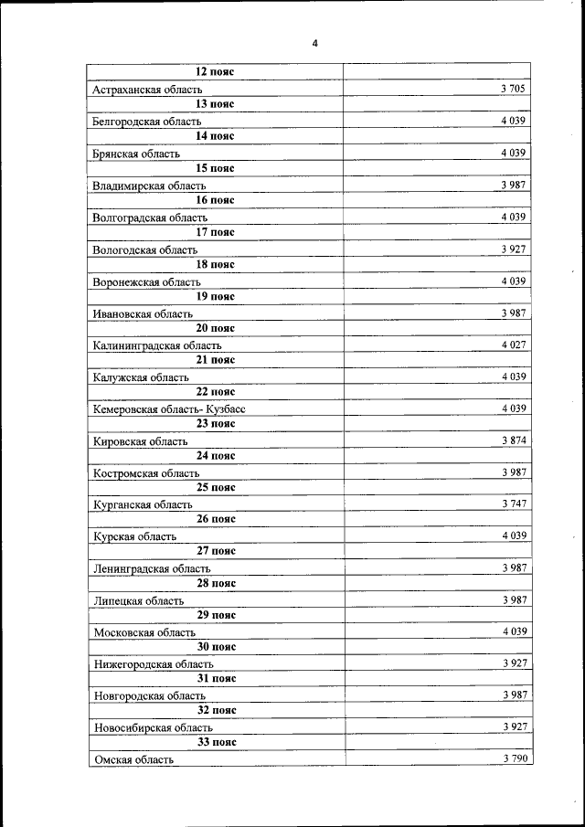
"Об утверждении оптовых цен на газ, добываемый ПАО "Газпром" и его аффилированными лицами, предназначенный для последующей реализации населению"
(Зарегистрирован 21.06.2021 № 63936)
Номер опубликования: 0001202106210022
Дата опубликования: 21.06.2021
Страница №4 из 6:
Увеличить