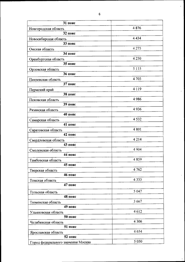
Приказ Федеральной антимонопольной службы от 02.06.2021 № 546/21
"Об утверждении оптовых цен на газ, добываемый ПАО "Газпром" и его аффилированными лицами, реализуемый потребителям Российской Федерации (кроме населения и потребителей Российской Федерации, указанных в пункте 15.1 Основных положений формирования и государственного регулирования цен на газ, тарифов на услуги по его транспортировке и платы за технологическое присоединение газоиспользующего оборудования к газораспределительным сетям на территории Российской Федерации, утвержденных постановлением Правительства Российской Федерации от 29 декабря 2000 г. № 1021)"
(Зарегистрирован 21.06.2021 № 63938)
"Об утверждении оптовых цен на газ, добываемый ПАО "Газпром" и его аффилированными лицами, реализуемый потребителям Российской Федерации (кроме населения и потребителей Российской Федерации, указанных в пункте 15.1 Основных положений формирования и государственного регулирования цен на газ, тарифов на услуги по его транспортировке и платы за технологическое присоединение газоиспользующего оборудования к газораспределительным сетям на территории Российской Федерации, утвержденных постановлением Правительства Российской Федерации от 29 декабря 2000 г. № 1021)"
(Зарегистрирован 21.06.2021 № 63938)
Номер опубликования: 0001202106210029
Дата опубликования:
21.06.2021
