Официальное опубликование правовых актов
ОФИЦИАЛЬНОЕ ОПУБЛИКОВАНИЕ
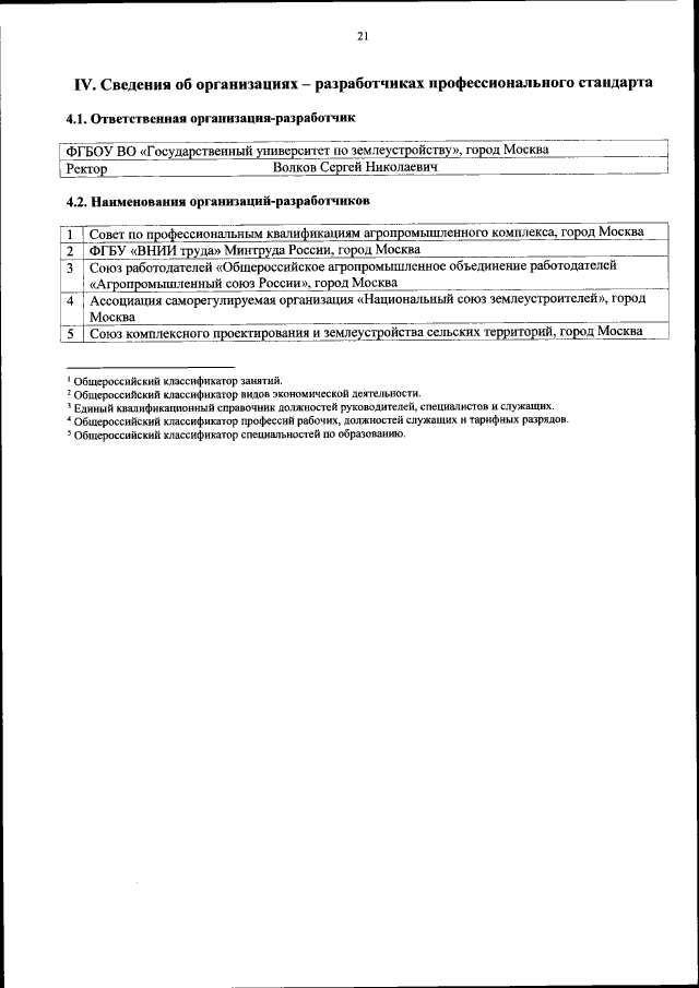
Приказ Министерства труда и социальной защиты Российской Федерации от 29.06.2021 № 434н
"Об утверждении профессионального стандарта "Землеустроитель"
(Зарегистрирован 23.07.2021 № 64367)
Номер опубликования: 0001202107260010
Дата опубликования: 26.07.2021
Страница №22 из 22:
Увеличить