Официальное опубликование правовых актов
ОФИЦИАЛЬНОЕ ОПУБЛИКОВАНИЕ
Приказ Министерства культуры Российской Федерации от 21.04.2021 № 526
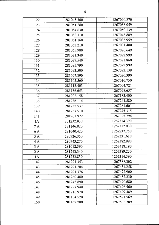
"Об утверждении требований к осуществлению деятельности и градостроительному регламенту в границах территории объекта культурного наследия федерального значения - достопримечательное место "Клещин", нач. I тыс. до н.э. - нач. I тыс. н.э., X — XVII вв. н.э.‚ расположенного по адресу: Ярославская область, Переславский район, с. Городище"
(Зарегистрирован 27.07.2021 № 64392)
Номер опубликования: 0001202107270030
Дата опубликования: 27.07.2021
Страница №16 из 18:
Увеличить