Официальное опубликование правовых актов
ОФИЦИАЛЬНОЕ ОПУБЛИКОВАНИЕ
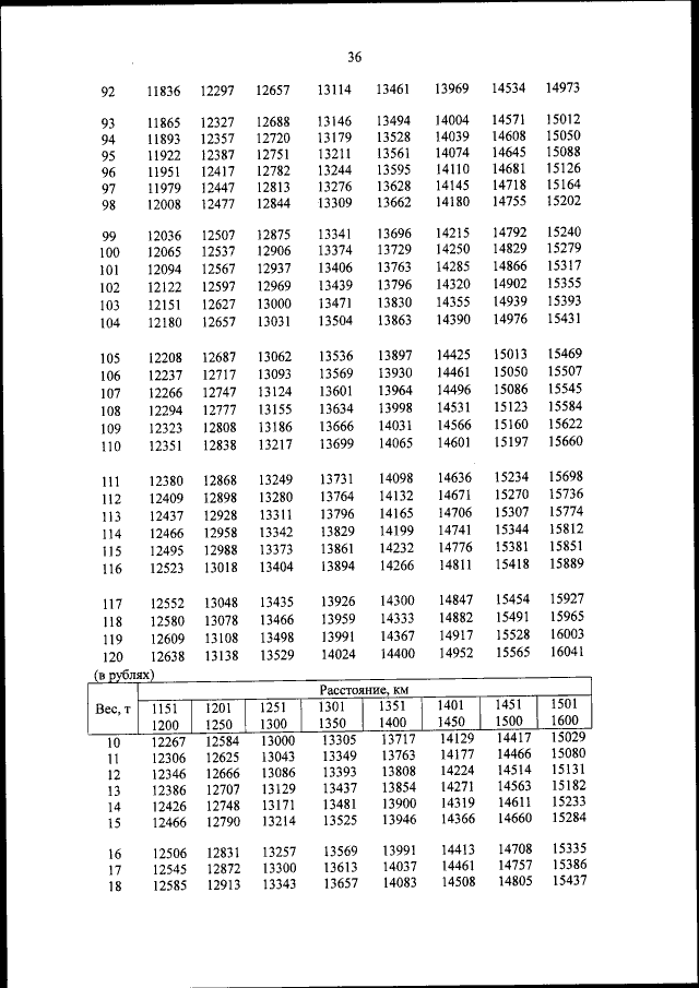
Приказ Федеральной антимонопольной службы от 18.06.2021 № 593/21
"О внесении изменений в Прейскурант № 10-01 "Тарифы на перевозки грузов и услуги инфраструктуры, выполняемые российскими железными дорогами" (Тарифное руководство № 1, части 1 и 2), утвержденный постановлением Федеральной энергетической комиссии Российской Федерации от 17 июня 2003 года № 47-т/5"
(Зарегистрирован 06.08.2021 № 64565)
Номер опубликования: 0001202108060019
Дата опубликования: 06.08.2021
Страница №36 из 63:
Увеличить