Официальное опубликование правовых актов
ОФИЦИАЛЬНОЕ ОПУБЛИКОВАНИЕ
Приказ Министерства транспорта Российской Федерации от 29.09.2021 № 330
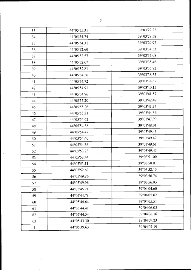
"Об открытии морского грузового постоянного многостороннего пункта пропуска через государственную границу Российской Федерации в морском порту Туапсе в границах реконструированного участка АО "Туапсинский морской торговый порт" и Туапсинского балкерного терминала "Еврохим" и об определении пределов данного пункта пропуска через государственную границу Российской Федерации"
(Зарегистрирован 08.11.2021 № 65717)
Номер опубликования: 0001202111080004
Дата опубликования: 08.11.2021
Страница №6 из 9:
Увеличить