Официальное опубликование правовых актов
ОФИЦИАЛЬНОЕ ОПУБЛИКОВАНИЕ
Приказ Министерства финансов Российской Федерации от 09.11.2021 № 173н
"Об утверждении формата представляемой в государственную интегрированную информационную систему в сфере контроля за оборотом драгоценных металлов, драгоценных камней и изделий из них на всех этапах этого оборота информации, структуры сведений"
(Зарегистрирован 08.12.2021 № 66234)
Номер опубликования: 0001202112080051
Дата опубликования: 08.12.2021
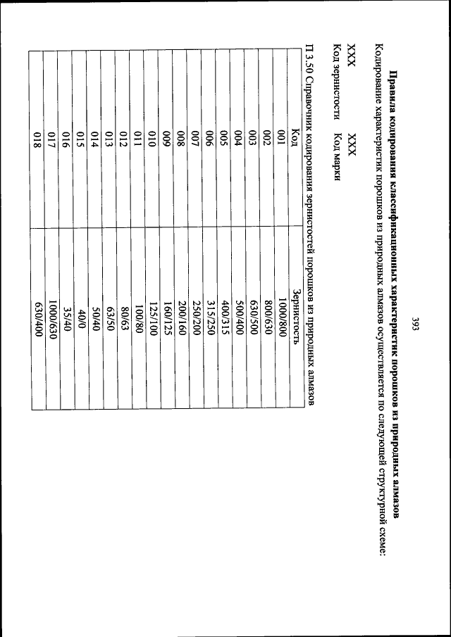
Страница №394 из 400:
Увеличить